Also In This Album

My Post Pictures (2) »
jujea July 22, 2021
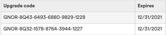
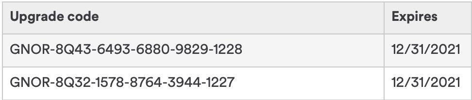
I hope someone can use!

More About This Picture

Vehicle

N/A

Location

N/A

Keywords

N/A

Discover More Pictures

See More
Advertisement

Comments (0)

Please Register or log in to leave a comment.

Be the first to comment on this picture!

This site is owned, operated, and maintained by MH Sub I, LLC dba Internet Brands. Copyright © 2026 MH Sub I, LLC dba Internet Brands. All rights reserved. Designated trademarks are the property of their respective owners.